<< Медицинская ультразвуковая томография


Ультразвуковой медицинский томограф (маммограф)

В настоящее время разработан и находится в стадии изготовления ультразвуковой медицинский томограф (маммограф) оригинальной конструкции, предназначенный, в первую очередь, для ранней диагностики доброкачественных и злокачественных заболеваний молочной железы. Приемоизлучающие преобразователи расположены на антенном кольце и имеют специальным образом подобранное нерегулярное расположение. В этом случае, в сочетании с дискретным вращением антенной решетки, 26 приемоизлучающих преобразователей обеспечивают объем данных рассеяния, равнозначный объему данных от 256 неподвижных приемоизлучающих преобразователей. Ведется сотрудничество с Институтом проблем управления РАН и другими научно-исследовательскими организациями. В мире имеется несколько групп, ведущих разработку томографов подобного типа (в первую очередь, это группа в США). На изобретение получен Патент:

Пархоменко П.П., Каравай М.Ф., Сухов Е.Г., Фалеев Б.А., Дмитриев О.В., Дроздов С.А., Комаров О.В., Бабин Л.В., Попов А.С., Буров В.А., Раттэль М.И., Бобов К.Н., Конюшкин А.Л., Румянцева О.Д. Ультразвуковой томограф и кольцевая антенная решётка для ультразвукового томографа // Патент на изобретение № 2145797. Приоритет от 23.06.1999. Москва, 2000.

Для получения двумерного изображения томографируемого органа и его количественных характеристик разработана следующая методика. При ультразвуковой диагностике малоразмерных новообразований биотканей на самой ранней стадии эффективным путем устранения искажающего влияния контрастных или крупных неоднородностей биологической среды являются итерационные методы. Предлагается простой подход, в котором достаточно двух шагов итераций, приводящих к эффективной фокусировке антенны томографа. На первом шаге посредством времяпролетного алгоритма восстанавливается неизвестное распределение по рассеивателю крупномасштабных неоднородностей скорости звука и поглощения, размер которых превышает несколько длин волн. За счет этого на втором шаге достигается высокая точность восстановления тонкой структуры рассеивателя (т.е. деталей с размером от нескольких десятых долей длины волны до нескольких длин волн) на уже оцененном неоднородном крупномасштабном фоне.

Подробно принцип действия ультразвукового маммографа и применяемый двухшаговый алгоритм обработки экспериментальных данных изложены в разделах 5.4 и в главе 8 следующей монографии:
Буров В.А., Румянцева О.Д. Обратные волновые задачи акустической томографии. Ч. 2: Обратные задачи акустического рассеяния. Изд. 2. М.: ЛЕНАНД. 2021. 760 с. ISBN 978-5-9710-7966-8

В качестве альтернативы двухшаговому алгоритму рассматривается возможность одновременного восстановления как крупномасштабной, так и тонкой структуры рассеивателя в неитерационных алгоритмах. Такие алгоритмы, основанные на функционально-аналитическом подходе к решению обратных задач рассеяния, восстанавливают в явном виде двумерные акустические рефракционно-поглощающие рассеиватели практически произвольной формы и силы. Он обеспечивает, благодаря учету эффектов перерассеяния, разрешение тонкой структуры, сопоставимое с качеством восстановления этой же тонкой структуры в однородной неискажающей фоновой среде. Результаты исследований в этом направлении систематизированы в монографии
Буров В.А., Румянцева О.Д. Обратные волновые задачи акустической томографии. Ч. 4: Функционально-аналитические методы решения многомерной акустической обратной задачи рассеяния. — М.: ЛЕНАНД, 2024. 504 с. ISBN 978-5-9519-4176-3

Возможности одного из функциональных алгоритмов (алгоритма Новикова-Гриневича-Манакова) иллюстрируются на рис.1 на примере несимметричного рефракционно-поглощающего рассеивателя (относительный контраст скорости изменяется от -0.073 до 0.15; дополнительный набег фазы примерно 63 градуса; амплитудное поглощение в рассеивателе - в 3.7 раза): - общий вид действительной (а) и мнимой (б) частей истинного рассеивателя:

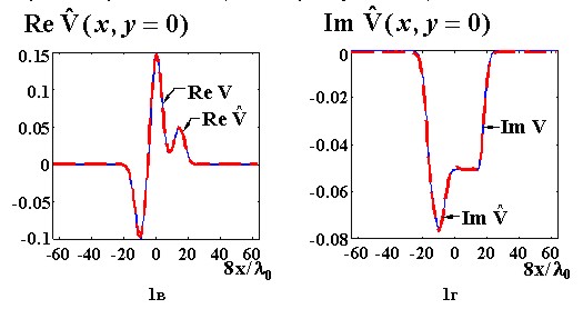
- центральные сечения действительной (в) и мнимой (г) частей истинного рассеивателя (тонкая линия) и рассеивателя, восстановленного с учетом многократных рассеяний при отсутствии шумовых помех (толстая пунктирная линия):

- в то же время, восстановление в приближении Борна не удовлетворительно (д):

В настоящее время продолжается разработка новых поколений медицинских томографов, цель которых - повышение информативности практических методов акустической томографии. Предложен простой метод повышения разрешающей способности двумерного акустического томографа в направлении, перпендикулярном плоскости томографирования, за счет наклона преобразователей. Разработан алгоритм раздельного восстановления рефракционной, плотностной и поглощающей компонент рассеивателя при неполных данных рассеяния на трех частотах. Показана возможность оценки характера частотной зависимости коэффициента поглощения как дополнительного диагностического параметра:

  1. Буров В.А., Конюшкин А.Л., Румянцева О.Д. "Двумерная и трехмерная акустическая томография при неполных данных". Акустический журнал, Москва, Изд-во РАН, 1997, Т.43, N4, С.463-469.
  2. Burov V.A., Konjushkin A.L., Rumiantseva O.D. "Multi-dimensional acoustical tomography by incomplete data". Acoustical Imaging, Ed.S.Lees. New York, Plenum Press. 1997, V.23, P.589-594.
  3. Burov V.A., Konjushkin A.L., Rumyantseva O.D. Increasing resolution capability of two-dimensional tomograph over third coordinate. Separating reconstruction of c(r)-, ρ(r)-, α(r, ω)- scatterer characteristics. Acoustical Imaging, Ed. P.Wells and M.Halliwell. New York: Kluwer Academic/Plenum Publisher. 2000. V.25. P. 109-116.
  4. О.Д. Румянцева, В.А. Буров, А.Л. Конюшкин, Н.А. Шарапов “Повышение разрешения двумерного томографирования по поперечной координате и раздельное восстановление упругих и вязких характеристик рассеивателя”. Акуст. журн. 2009. Т.55. №4-5. С.606-622.

В дополнение получен результат фундаментального характера - однозначная связь амплитуды и синуса фазы поля, рассеянного от квазиточеченого рассеивателя [Буров В.А., Морозов С.А. Связь между амплитудой и фазой сигнала, рассеянного "точечной" акустической неоднородностью // Акустич. журн. 2001, т.47, №6, с.751-756]. Неожиданно этот результат оказался тесно связанным с результатами Л.Д.Фаддеева для квантовых процессов [Березин Ф.А., Фаддеев Л.Д. Замечание об уравнении Шредингера с сингулярным потенциалом // ДАН. 1961. Т.137. N5. С.1011-1014]. Обнаруженная однозначная связь фазы и амплитуды коэффициента рассеяния может иметь широкие и более серьезные следствия для понимания физики процессов рассеяния. В настоящее время результаты уже могут быть использованы в тестовых задачах при оценке эффективности тех или иных методов томографирования, т.е. практическая значимость данного результата - возможность контроля качества восстановления исследуемого объекта, предоставляемым тем или иным алгоритмом томографирования, в котором экспериментально измеряемые данные рассеяния обрабатываются нелинейным образом. Алгоритм, адекватно учитывающий процессы перерассеяния, должен восстанавливать малую точечную неоднородность как действительную хорошо локализованную функцию: Н.П. Бадалян, В.А. Буров, С.А. Морозов, О.Д. Румянцева “Рассеяние на акустических граничных рассеивателях с малыми волновыми размерами и их восстановление”. Акустич. журн. 2009. Т.55. №1. С.3-10.

Функционально-аналитические алгоритмы, предполагающие обработку данных рассеяния, измеренных в трехмерной схеме томографирования, а также результаты численного восстановления модельных трехмерных рассеивателей различной силы и размера, обсуждаются в работах:

  1. Алексеенко Н.В., Буров В.А., Румянцева О.Д. Решение трехмерной обратной задачи акустического рассеяния на основе алгоритма Новикова-Хенкина // Акустич. журн. 2005, Т.51, №4. С.437-446.
  2. Алексеенко Н.В., Буров В.А., Румянцева О.Д. “Решение трехмерной обратной задачи акустического рассеяния. Модифицированный алгоритм Новикова”. Акустич. журн. 2008. Т.54. №3. С.469-482.

Итак, по сравнению с УЗИ-системами, разрабатываемый акустический томограф может получать количественные изображения нескольких (скорость звука, поглощение и, возможно, плотность исследуемой биологической ткани) акустических характеристик с высоким разрешением, близким к предельному теоретическому в четверть длины волны. Для используемых частот порядка 1.5 МГц ожидаемое разрешение в плоскости томографирования составляет 0.3-0.5 мм. В УЗИ-системах реальное разрешение на порядок хуже (0.3-0.5 см). Последние цифры относятся к поперечному разрешению, особенно подверженному влиянию рефракции на близлежащих неоднородностях реальной биоткани. Поэтому УЗИ-системы не всегда могут служить целям ранней диагностики возникших патологий (доброкачественных и злокачественных новообразований), а акустический томограф предназначается именно для ранней диагностики.

Получены первые изображения исследуемых объектов, сигналы от которых сняты в реальных экспериментах на основе разработанного прототипа ультразвукового медицинского томографа (рис.2, рис.3):

Рис.2. Двумерная томограмма скорости звука, полученная с грубым разрешением на первом шаге. В качестве имитатора биологической ткани взяты два вареных яйца, правое из которых располагалось вертикально к плоскости томографирования, а левое - горизонтально (а) и взят кубик из пластисола (это специальный полимер) (б). Один пространственный отсчет равен 0.25 мм.

Рис. 3. Фрагмент текста, иллюстрирующий возможность восстановления тонкой структуры (мелкомасштабных деталей) исследуемого объекта, присутствующей на крупномасштабном неоднородном фоне: модельное изображение тонкой структуры в виде текста (а); результат восстановления двухшаговым алгоритмом с учетом предварительно оцененного крупномасштабного фона (б). Один отсчет составляет 0.25 мм.